Seite 1 von 2
Wind-Daten-Werte Wswin / weewx
Verfasst: 16 Okt 2025 13:38
von JoachimF
Hallo,
Wswin empfängt die Davis Daten von der Weather Envoy
und Weewx erhält die Davis Daten von Vantage Pro 2 Konsole.
Mir ist aufgefallen, dass die Windgeschwindigkeitswerte - obwohl gleiche Quelle - je nach Auswertung deutlich unterschiedlich sind.
Weewx - Konsole (links) (rechts) Wswin - Envoy

- wind.png (16.9 KiB) 2538 mal betrachtet
Die Wswin-Envoy-Kombi liefert deutlich höhere Werte.
Welcher Kombi soll ich vertrauen?
Re: Wind-Daten-Werte Wswin / weewx
Verfasst: 16 Okt 2025 19:44
von Werner
Ich denke,
dass bei WeeWx eine andere Einheit für die Windgeschwindigkeit eingestellt ist.
Default ist da, glaube ich "m/s"
Wenn ich die WeeWx - Werte umrechne ist das so, das dieser Wert in m/s ist.
Re: Wind-Daten-Werte Wswin / weewx
Verfasst: 16 Okt 2025 19:49
von Tex
Ohne die Systeme jetzt wirklich zu kennen, glaube ich nicht, daß Envoi und Konsole absolut exakt zur gleichen Zeit die Daten speichern. Soweit ich weiß, liefert das Anemometer alle 2,5 sec. Daten. Dann sieht es für mich so aus, als ob weex in m/sec. und wswin in km/h die Werte ausspuckt. Zumindest deuten einige Werte bei Umrechnung darauf hin.
Ups, da war Werner etwas schneller ----- aber im Prinzip die gleiche Analyse.
Re: Wind-Daten-Werte Wswin / weewx
Verfasst: 18 Okt 2025 17:18
von JoachimF
@Tex , @Werner
aber wie stelle ich Weewx um, das auch in km/h angezeigt wird?
weewx.conf
Code: Alles auswählen
[[Defaults]]
.....
# Which unit system to use for all reports. Choices are 'us', 'metric', or 'metricwx'.
# You can override this for individual reports.
unit_system = metricwx
[[[Units]]]
# Option "unit_system" above sets the general unit system, but overriding specific unit
# groups is possible. These are popular choices. Uncomment and set as appropriate.
# NB: The unit is always in the singular. I.e., 'mile_per_hour',
# NOT 'miles_per_hour'
[[[[Groups]]]]
......
group_speed = km_per_hour # Options are 'mile_per_hour', 'km_per_hour', 'knot', or 'meter_per_second'
Re: Wind-Daten-Werte Wswin / weewx
Verfasst: 18 Okt 2025 18:04
von Werner
Es gibt auch noch
Code: Alles auswählen
group_speed2 = km_per_hour2 # Options are 'mile_per_hour2', 'km_per_hour2', 'knot2', or 'meter_per_second2'
Dein gezeigter Eintrag ist schon richtig.
Die Zuweisung kann auch in der de.conf erfolgen.
Woher kommt den Deine Vergleichstabelle?
Re: Wind-Daten-Werte Wswin / weewx
Verfasst: 18 Okt 2025 20:40
von JoachimF
Werner hat geschrieben: ↑18 Okt 2025 18:04
Es gibt auch noch
Code: Alles auswählen
group_speed2 = km_per_hour2 # Options are 'mile_per_hour2', 'km_per_hour2', 'knot2', or 'meter_per_second2'
Die Zuweisung kann auch in der de.conf erfolgen.
Dort gibt es nicht diesen oder ähnlichen Eintrag
Woher kommt den Deine Vergleichstabelle?
Wswin : Grundlage die EXP10_25.CSV
dort habe ich die Wind-Werte entnommen
Weewx: Grunglage die weewx-Davis-Datenbank
Windwerte aus der DB exportiert
Was mir noch mit Weewx Werten bzgl windspeed in der Datenbank auffällt:
seit de, 13.3.2025 ist der kleinste Wert immer
0.44704 !!
In den Zeit davor hat auch andere Werte unterhalb von 0.44704 aufgezeichnet.
In der EXP10_25.CSV ist ein solches Muster nicht vorhanden.
Re: Wind-Daten-Werte Wswin / weewx
Verfasst: 19 Okt 2025 12:22
von Werner
Die Werte
"vecavg"
"rms"
gehören zur group_speed2
Weewx: Grunglage die weewx-Davis-Datenbank
Windwerte aus der DB exportiert
Dann haben wir ja die Erklärung!
Beim Export wird die default-Einstellung der Datenbank verwendet.
Re: Wind-Daten-Werte Wswin / weewx
Verfasst: 19 Okt 2025 13:47
von JoachimF
Tut mir leid, verstehe ich aber nicht richtig.
Die Wind-Rohdaten aus der weewx-DB sind nicht die Metricwx Daten,
diese Metricwx Werte werden erst berechnet.
Ich schreibe einige Wetterdaten in das WebCamBild und müsste also vorher den Windwert korrigieren.

- cam-14.jpg (73.73 KiB) 1398 mal betrachtet
Re: Wind-Daten-Werte Wswin / weewx
Verfasst: 19 Okt 2025 16:56
von Werner
... dann schaue Dir mal meine Erweiterung wswincsv.py an.
Die exportiert die Winddaten auf jeden Fall als "km/h"
Code dazu:
Code: Alles auswählen
pu = packet.get('usUnits')
def convert(v, metric, group, from_unit_system, to_units):
ut = weewx.units.getStandardUnitType(from_unit_system, metric)
vt = (v, ut[0], group)
v = weewx.units.convert(vt, to_units)[0]
return v
data['windSpeed'] = convert(v, 'windSpeed', 'group_speed', pu, 'km_per_hour')
fields.append("%.1f," % float(data['windSpeed']))
Re: Wind-Daten-Werte Wswin / weewx
Verfasst: 19 Okt 2025 17:50
von JoachimF
Ich glaube wir reden aneinander vorbei
da ich mit dem Raspi keine Wswin Daten exportiere, sondern nur aus der
Weewx-Datenbank ,
um Wetterdaten ins WebCamBild zu schreiben (testbetrieb).
Das WebCamBild auf meiner Homepage wird mit einem Win11 PC + Wswin erzeugt und ist OK.
Re: Wind-Daten-Werte Wswin / weewx
Verfasst: 19 Okt 2025 18:02
von Werner
Ich glaube wir reden aneinander vorbei
Glaube nicht,
ich wollte Dir nur eine Möglichkeit aufzeigen, wie
Du die Winddaten mit der Einheit km/h bekommen kannst,
d.h. ohne Code oder spezielle Template-Datei wirst Du nicht ans Ziel kommen.
Re: Wind-Daten-Werte Wswin / weewx
Verfasst: 19 Okt 2025 20:13
von JoachimF
Danke für deine Mühe,
aber eine Lösung über den wswin-Export vom Win11 PC sagt mir nicht zu,
da ich eine
autarke Raspi - Debian - Weewx - Davis Konsole - Installation will.
Der Export des letzten Eintrags in der Weewx-DB erfolgt ( crontab) in der Konsole so
Code: Alles auswählen
sqlite3 --header -csv /var/lib/weewx/weewx_eco.sdb "select dateTime,outTemp, outHumidity,barometer, rain,rainRate, windspeed, windDir from archive order by datetime desc limit 1;" > /home/pi/daten.csv
Re: Wind-Daten-Werte Wswin / weewx
Verfasst: 20 Okt 2025 11:55
von JoachimF
Weewx 5.2. habe ich neu installiert (Simulator) mit metricwx und auch so in der weewx.conf eingestellt.
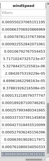
Windspeedwerte in der Datenbank

- windspeed.png (66.59 KiB) 1023 mal betrachtet
Windgeschwindigkeits-Graphik (boen auskommentiert)

- windgeschwindigkeit.png (18.36 KiB) 1023 mal betrachtet
Wert in der Htmlseite

- aktuelle Werte.png (21.42 KiB) 1023 mal betrachtet
In welcher Einheit werden die Werte in die Datenbank geschrieben?
Z.B. der Temperaturwert in der DB entspricht genau dem Temp-Wert auf der Htmlseite.
In der Graphik werden 4 Nachkommastellen angezeigt ?
und der aktuelle Htmlwert ist NULL.
Die Zusammenhänge verstehe ich nicht

Re: Wind-Daten-Werte Wswin / weewx
Verfasst: 20 Okt 2025 17:54
von Werner
Die Daten werden so in die Datenbank geschrieben wie in der weewx.conf angegeben
in diesem Abschnitt
Code: Alles auswählen
[StdConvert]
# The target_unit affects only the unit system in the database. Once
# chosen it cannot be changed without converting the entire database.
# Modification of target_unit after starting weewx will result in
# corrupt data - the database will contain a mix of US and METRIC data.
#
# The value of target_unit does not affect the unit system for
# reporting - reports can display US, Metric, or any combination of units.
#
# In most cases, target_unit should be left as the default: US
#
# In particular, those migrating from a standard wview installation
# should use US since that is what the wview database contains.
# DO NOT MODIFY THIS VALUE UNLESS YOU KNOW WHAT YOU ARE DOING!
target_unit = US # Options are 'US', 'METRICWX', or 'METRIC'
Standard-Einstellung in Weewx ist "US"
Re: Wind-Daten-Werte Wswin / weewx
Verfasst: 22 Okt 2025 13:06
von JoachimF
Zuerst vielen Dank an Dich Werner, für deine Geduld und ...
Auch wenn manchmal meine Fragen vielleicht 'blöd' sind, weil mit das notwendige Verständnis fehlt
oder ich zu ungeduldig oder besser wissend bin, welches meinem Altersstarrsinn geschuldet ist.
Die Wetterdaten der Weewx-Davis-Station werden auch bzgl. Wind nun korrekt ins Bild geschrieben.

- text.png (217.64 KiB) 271 mal betrachtet
Ich habe einen anderen Ansatz gewählt und das direkte Auslesen aus der DB zur Seite gelegt.
In der weewx.conf habe ich eine weiteren Eintrag vorgenommen
Code: Alles auswählen
[StdReport]
[[WerteReport]]
# The WerteReport uses the 'Werte' skin and the file
# is placed in a dedicated subdirectory.
skin = Werte
enable = true
HTML_ROOT = /var/www/html/weewx/werte
Die /etc/weewx/skins/Werte/ enthält u.a.eine werte.csv.tmpl
Code: Alles auswählen
outTemp;outHumidity;barometer;windSpeed;rain;rainrate;dateTime
Temperatur : $current.outTemp (Δ $trend.outTemp)
Luftfeuchte : $current.outHumidity
Luftdruck : $current.barometer (Δ $trend.barometer)
Wind : $current.windSpeed $gettext("aus") $current.windDir.ordinal_compass ($current.windDir)
Regen : $current.rain (Σ $day.rain.sum)
Regenrate : $current.rainRate
$current.dateTime
Werte und Einheiten sind so korrekt, bis auf Δ $trend.outTemp .
Existiert überhaupt ein solcher Wert?